天然に存在するビタミンKは2種類ある。緑黄色野菜・海藻類・緑茶・植物油などに含まれるビタミンK1 (フィロキノン) と、腸内細菌によっても合成されるビタミンK2 (メナキノン) である。
また、人工のものとして、ビタミンK3(メナジオン)、ビタミンK4(メナジオール)が存在する。
ビタミンK3はヒトに毒性があるため医薬、食品では使用されないが、飼料用添加物として利用されている。
ビタミンK生産
概要
ビタミンKは脂溶性ビタミンの一種であり、人間にとっては血液凝固に必須なビタミンである。
成人では、通常の食事で血液凝固に関してビタミンK不足になることはほとんどないが、新生児、乳児、肝疾患等により、出血症が知られる。 新生児用の粉ミルクにはビタミンKを添加することがあり、産科では出生時、出生1週間、一か月健診などの頃合いでビタミンKシロップを投与する。
微生物では電子伝達系成分として生育に必要である。
2-メチル-1,4-ナフトキノンを基本骨格とし、3位に結合した側鎖の構造の違いからビタミンK1~4 が存在する。成人では、通常の食事で血液凝固に関してビタミンK不足になることはほとんどないが、新生児、乳児、肝疾患等により、出血症が知られる。 新生児用の粉ミルクにはビタミンKを添加することがあり、産科では出生時、出生1週間、一か月健診などの頃合いでビタミンKシロップを投与する。
微生物では電子伝達系成分として生育に必要である。
天然に存在するビタミンKは2種類ある。緑黄色野菜・海藻類・緑茶・植物油などに含まれるビタミンK1 (フィロキノン) と、腸内細菌によっても合成されるビタミンK2 (メナキノン) である。
また、人工のものとして、ビタミンK3(メナジオン)、ビタミンK4(メナジオール)が存在する。
ビタミンK3はヒトに毒性があるため医薬、食品では使用されないが、飼料用添加物として利用されている。
機能に関する知見
機能を示すメカニズム
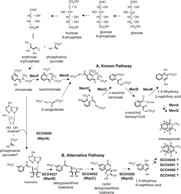
大腸菌や枯草菌ではコリスミ酸からスクシニル安息香酸を経る経路が知られている。また、グラム陽性細菌の放線菌などではコリスミ酸からフタロシンを経る経路が存在する。

MK biosynthetic pathways. --Dairi (2009). Figure 1

機能を持つことが知られている生物
植物や腸内細菌群などで生合成されている。
実用化例
メナキノンの生産には Flavobacterium sp. や Bacillus subtilis を利用した発酵法が知られている(特開2001-333792など)。
メナキノン-7 を多く産生する菌を利用した納豆が特定保健用食品として許可を受けている。
メナキノン-7 を多く産生する菌を利用した納豆が特定保健用食品として許可を受けている。
参考文献
- Dairi, T. (2009). An alternative menaquinone biosynthetic pathway operating in microorganisms: an attractive target for drug discovery to pathogenic Helicobacter and Chlamydia strains. J Antibiot (Tokyo). 62(7):347-352. PMID: 19557031

- 大利 徹. (2009). 「微生物に見出されたメナキノン新規生合成経路」 『生化学』 81(2):95-99.
関連外部リンク
- 「健康食品」の安全性・有効性情報 「ビタミンK」
国立健康・栄養研究所.
(更新日 2014/02/12)





